Marvel Interactive
The Rules

----------- WARNING! -----------

The rules stated here are completely optional and are not required to play the game. However, if you have the courage to play a more balanced version of OverPower, then feel free to read ahead! You may choose to adopt as few or as many of the rules as you so choose!

----------- WARNING! -----------


As described in The Conception, one of the main goals for the Power Balance expansion was to bring a sense of balance to the game. Balance means to not only make the game more fair, but to create circumstances where all characters and cards can be used competitively. There are so many cards in Overpower, and such a small proportion of the total cards available ever actually get to see the light of day, since they cannot really be used competitively. Power Balance aims to correct this, and has introduced a few new rules, summarised below:

1) Character Point Values are now allocated differently, and Point Value limit is now 80 points.
2) Addition of Any Power cards (including Power and Universe) into a deck reduces the Point Value limit to 76 points, and MultiPower cards (including
Power, Universe and Tactic) can no longer be included.
3) MultiPower Cards can only be played if the value on the MultiPower Card is less than or equal to the value of ALL four power types on a character's Power Grid.
4) All subsequent attacks to Teamwork, DoubleShot and Ally cards are now considered “Follow-Up Attacks”, and must be all made together in the same Offensive Action phase.
5) Battlesites now have the same K.O. requirement as characters - 20 hit points or three Power Types.
6) An active Battlesite (Marvel Manhatten, Marvel Universe or Team Overpower) is required to play Any Hero/Character cards.

For quick access downloads, the links to the Instruction Manual and Point Value tables can be found below. For more detailed information, continue reading!

QUICK DOWNLOADS

For a quick summary of all rule changes, a copy of the Instruction Manual that comes with the Power Balance expansion can be downloaded here. This also contains a Quick Reference Guide for Point Values of all 4-stat Marvel Characters. A Quick Reference Guide for Point Values of all 4-stat DC and Image Characters, and all 3-stat Marvel Characters, can be downloaded here.

THE RULES IN DETAIL

The measures taken to balance the game can be broadly divided into two big groups – Character Orientated Balancing and Location Orientated Balancing. Each measure under the two big headings will be discussed in detail, so fans have an appreciation of the “why” behind these decisions. The important rule changes will be highlighted in a pink box, and the new cards introduced in Power Balance will be highlighted in a blue box, so everything significant will stand out for your convenience.

Given the amount of information on this page, quick links are provided below to jump to certain sections:

CHARACTER ORIENTATED BALANCING :
|
Assessment of Imbalance | Analysis of Effectiveness | Correcting this Discrepancy | Balancing Spectrum K.O. Ability |
| Balancing Offensive Ability | Follow-Up Vs. Additional Attack | The New Point Value System | Specials? Inherent Abilities? |

LOCATION ORIENTATED BALANCING :
| Battlesites | Homebases |

CHARACTER ORIENTED BALANCING

ASSESSMENT OF IMBALANCE
One of the main sources of imbalance with Overpower stems from the rules pertaining to the allocated “value” or usefulness of the Characters. As all Overpower fans are aware, the game employed a Point Value system to determine how a team was put together. Each Character was allocated a Point Value based on the Power Ratings from a Character’s Power Grid; the sum of these ratings determined a Character’s Point Value. This Point Value system was obviously put in place for the sake of simplicity, but unfortunately, lends itself to creating imbalances in the game.

Let’s use an example to illustrate this fact. For the purposes of demonstration, we shall create two Power Grids with equivalent point values:


Fig 1. Two example characters created for the purposes of analysis.

Let’s give Character X a Power Grid of 8 7 4 1, and Character Y a Power Grid of 5 5 5 5. (Sure, there aren’t any characters that actually have these stats in the game, but this is only to demonstrate a point.) Both Character X and Character Y have a Point Value of 20. By this reasoning, they should be of equivalent effectiveness when used in game play. This is distinctly different to having the same capabilities (i.e. do exactly the same thing). For us to make an assessment of effectiveness, we’re going to have to break everything down to a “bare bones” level. Some of the mathematics gets extremely complicated, involving calculation of combination and chance - which is why a skilled mathematician was enlisted to help with this project! As a result, only the results of the mathematics will be discussed, not the method of calculation.

What does a Power Grid do for a Player? It determines what cards are available for Player’s Hand to hold and use. So, let’s find out what cards become available for Character X and Character Y. For simplicity, we are going to have to exclude Basic/Training Universe cards and Tactic cards (both of which have been calculated to potentially have a deleterious effect rather than beneficial). As a result, we are only including Power, Teamwork and Ally cards for calculation.


Fig 2. A list of the total pool of cards available based on Power Grid
T6(#) - Teamwork card that acts as a level 6 attack, with # to use
A~(#) - Ally card that acts as a level ~ attack, with # to use.

Back to top

ANAYLSIS OF EFFECTIVENESS
Before we move on to analysis, let’s discuss what makes a character effective in Overpower. Fans who have played Overpower will agree that there are 5 general things that make a character effective:

1) Overall offensive and defensive ability
2) Ability to cause K.O.
3) Ability to win a venture
4) Special card armamentarium – not related to Power Grid
5) Inherent ability – not related to Power Grid

Let’s now do some basic analysis to see how the Player’s Hands created by the Power Grids relates to the Character’s effectiveness. Again, the exact mathematics used to calculate all these factors is mind-numbing, so that level of detail won’t be covered here. Rather, only enough information to demonstrate the point being made, then a quick summary of the results of statistical analysis, will be presented.

1) Overall offensive and defensive ability

Overall offensive and defensive ability would be measured by two things, firstly the highest value offensive/defensive card in a hand. Character X can potentially have up to a value 8 in his hand, while Character Y can potentially only have up to value 5 in his hand. In this field, Character X already has the advantage.

The second measure of offensive and defensive ability would be the total number of useable offensive/defensive cards in a hand. Knowing that all Power Cards with the same value cannot be held in a hand at the same time, the total pool of offensive cards Character X can access would include 8 Power Cards, 5 Teamwork cards, and 7 Ally cards, creating a total pool of 20 offensive cards. The total pool of defensive cards would only include the 8 Power Cards, since Teamwork and Ally cards cannot be used for defense. Character Y can access 8 Power Cards, and 4 Ally cards, creating a total pool of 9 offensive cards. The total pool of defensive cards would only include the 5 Power Cards.

Even without going into the calculations, it is clear that out of a possible hand of 8 cards, Character Y’s smaller pool of cards would result in being more than twice as likely to draw duplicates, and have a smaller number of useable offensive and defensive cards in a hand.

Statistical Analysis: The defensive ability is fully dependant on the primary (i.e. highest) stat in the Power Grid. The ability increases exponentially with linear increase of the primary stat. The offensive ability also increases exponentially with linear increase of the primary stat, but has a contribution from any other stat above 6.

Result: Character X clearly wins out with regard to offensive and defensive capabilities by a landslide.

2) Ability to cause K.O.

There are only two ways to cause K.O. in Overpower – cumulative and spectrum. So let’s firstly compare the abilities of both Characters to cause a Cumulative K.O. From the total pool of offensive cards created by Character X, the best case scenario creating the maximum points of damage from a Player’s Hand would be 4 Power Cards (5+6+7+8) and 4 Teamwork cards (6+6+6+6), coming to a total of 44 points. Looking at Character Y, the best case scenario creating the maximum points of damage would be 5 Power Cards (1+2+3+4+5) and a possibly an Ally card (3) assuming there is an offensive special. This comes to a total of 15 points without the Ally card (18 points with the Ally card).

Statistical Analysis: The Cumulative K.O. ability again increases exponentially with linear increase of the primary stat, with contributions from any other stat above 6.

Spectrum K.O. ability cannot be demonstrated as easily, but we can try our best. Spectrum K.O. ability would be affected by overall offensive and defensive ability, but this has already been accounted for. We are purely looking at the ability to create variability of power types in a hand. The variability at each level of Power Card needs to be assessed, as higher level Power Cards are easier to hit, and therefore have a greater likeliness of contributing to a Spectrum K.O. MultiPower should also be considered a 5th power type, as it also contributes to Spectrum K.O. Looking at the quick chart of the power types available at specific values, both of them actually have comparable variability of power type choice up till level 4, since Character X is able to use MultiPower Cards which do not have a specific requirement to play. If you were to add in the Ally cards as well, the 5 or less to use cards which function as a level 3 further increase the spectrum capabilities of character X. Only when we reach level 5 does Character Y really have a distinct advantage with variability of power types.


Fig 3. A graphical representation of the variability of Power Types available for use at each level based on Power Grid.

Statistical Analysis: The Spectrum K.O. ability increases exponentially based on power type variability (which is derived from number of playable power types) created within each stat value category (level 1, 2, 3, etc.). The variability increases exponentially with number of playable power types (e.g. being able to play 5 power types creates exponentially increasing variability compared to being able to play 4, 3, 2 and 1 power types respectively). The weighting of the variability increases exponentially with increasing stat value category (e.g. weighting of being able to play 5 power types at level 4 increases exponentially compared to being able to play 5 power types at level 3, 2 and 1 respectively). The data is then amalgamated to determine the overall Spectrum K.O. ability.

Result: Character X is clearly far superior in ability to cause Cumulative K.O., whilst character Y’s ability to cause Spectrum K.O. is superior, but not by as large a factor.

3) Ability to win a venture

This is based largely on the maximum points of damage that can be created by a hand at any one time, but also slightly affected by the total number of useable offensive and defensive cards.

Statistical Analysis: This has already been covered in the aforementioned sections relating to offensive and defensive effectiveness and Cumulative K.O. effectiveness.

Result: Character X has the clear advantage.

OVERALL RESULT: Character X is statistically far more effective than Character Y.

Back to top

CORRECTING THIS DISCREPANCY
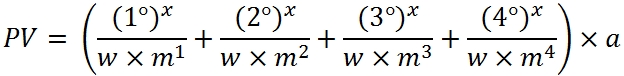
Clearly, the discrepancy of effectiveness between Character X and Character Y is too large given that they are assigned the same point value. A mathematical formula was derived to generate a point value based on a character’s Power Grid. (This took ages to calculate significance of all factors and then crunch all the numbers!) A basic form of it is listed below:


PV - Point Value; 1º, 2º, ... - Primary, Secondary, ... Stat (highest rating, 2nd highest rating, ...);
x - stat value exponential; w - stat category weighting; m - stat category exponential modifier; a - adjustment factor

As you can see formula takes the contribution of each of the stat’s to the overall effectiveness. Higher values within each stat category create exponentially greater contributions. The weighting of each subsequent stat reduces exponentially as well. A bit of playtesting (albeit without special cards to reduce confounding factors) revealed that these new point values were quite a good representation of the playability of the character. However, problems still existed within this new system. The severely low point values of some characters meant that the only reason they would be added to a team would be to allow selection of three other characters which were far too powerful, or resulted in them not being selected at all. As previously mentioned, the goal of Power Balance was to allow ALL characters to actually be useable and competitive. It was clear other measures needed to be taken to balance the game. The formula will be revised once all other measures have been taken into consideration.

One of the main issues identified was that characters with a high primary stat, like Character X used in our demonstrations, were given too much of an advantage. Characters with all-round stats like Character Y simply have no options. Clearly, to help balance the game, characters with high primary stat need to be “nerfed” a little, and characters with good all-round stats given a few more options to play with.

Back to top

BALANCING SPECTRUM K.O. ABILITIES
Characters with a high primary stat are superior in offensive, defensive, venture winning AND Cumulative K.O. capabilities, and yet they were still able to maintain a good ability to create Spectrum K.O. due to the presence of MultiPower Cards. To balance this, there is a new rule.

NEW RULE: MultiPower Cards can only be played if the value on the MultiPower Card is less than or equal to the value of ALL four power types on a character's Power Grid.

A Marvel version level 5 MultiPower Card has now been created for Power Balance.

NEW CARDS: Level 5 MultiPower Power Card (not One Per Deck)

Since there are such high requirements to play them, there are new rules.

NEW RULE: Level 5 MultiPower Cards at NOT One Per Deck cards.

NEW RULE: MultiPower Cards can function as a specific Power Type (except Any-Power) card if required. (e.g. in situations like AE specials which state “May combine with 1 Intellect card for a single attack”.)

As a result of these 3 new rules, Character X in the previous example would only be able to play a level 1 MultiPower Card, whereas Character Y would now be able to play MultiPower Cards all the way up to level 5. Looking at the updated chart below, there is now a significant Spectrum K.O. advantage to all-round stat characters. Not only that, MultiPower Cards can be used in a wider variety of situations, further aiding in Spectrum K.O. ability.


Fig 4. Updated variability of available Power Types with new rules. Character Y now has a greater advantage with regard to Spectrum K.O. ability.

Back to top

BALANCING OFFENSIVE ABILITY
As seen before, offensive abilities only really start becoming significant when a particular stat in a Power Grid gets to level 6 or above. The pool of available cards really begins to open up to characters with a level 6 in their Power Grid, since almost all cards in OverPower which add to offense, like Teamwork cards, require a minimum of 6 to use. This becomes MUCH more pronounced with level 7 and level 8. Characters like Character Y, which have good all-round stats really need access to a bigger pool of cards to be competitive.

Power Balance sees the introduction of two new MultiPower Universe: Teamwork cards which increase the pool of useable cards for characters good all-round stats.

NEW CARDS: MultiPower Universe: Teamwork cards

This still doesn’t exactly close the discrepancy of effectiveness between high primary stat category characters and the rest of the Overpower cast, so further changes are still necessary.

Some characters don’t fall into either the Character X high primary stat category, or the Character Y good all-round stats category, but rather have more than one stat in their Power Grid that is at level 6, like Character Z in the example on the left.

These characters can take advantage of all the teamwork cards useable by level 6 or above, but still haven’t yet received any benefit from Power Balance. Let’s turn our attention to DoubleShot cards now as a way to benefit these characters.

DoubleShot cards were previously useless because 1) they always required combination with another card, but only ever functioned as a single attack or defense, 2) they could only be combined with a very specific Power Card type making it difficult to meet the exact circumstances for use, 3) they could only be combined with a level 4 Power Card, only ever being able to summate to a level 8 attack, giving the high primary stat character types the ability to block an two-card attack made with DoubleShot cards with only one card.

Power Balance now sees the introduction of updated Tactic: DoubleShot cards which increases their usefulness immensely and even adds a new dimension to the game, simply by addressing the 3 issues mentioned above. DoubleShot cards still have the same requirements to use as before and still require combination with a Power Card, but the two cards can be separated into two separate attacks. This way, DoubleShots can now function as another attack, which will require the opponent to expend another card for defense.

DoubleShot cards can now be used as a two part defense as well. Fans can be heard crying out “How is this possible?” There has been a slight change in the mechanics for use of Teamwork, Ally and DoubleShot cards which all require subsequent attacks to be made. This will be discussed later, under “Follow-up Attacks vs. Additional Attacks”. The bottom line is that DoubleShot cards now can act as an individual defense to Power Card it is combined with! This includes multi-attack cards like Teamworks!

DoubleShot cards now can be combined with any Power Type (except Any-Power) Power Card, making them useable in a MUCH greater variety of situations. Additionally, they can now be combined with Power Cards of up to level 5, providing the option for summating the cards to a level 9 attack (which could even be of two different power types!) that even high primary stat characters are not able to simply defend with a single Power Card. This will severely reduce the advantage these characters have, as they now face the same risk as all other characters of being attacked by something they can’t easily defend.

NEW CARDS: Updated Tactic: DoubleShot cards

The all-round stat characters cannot take advantage of these standard DoubleShot cards, so there are two new DoubleShot cards created for MultiPower orientated characters as well now. One of them requires level 4 MultiPower for both character and teammate to use, and the other one requires level 5 MultiPower for the character and level 4 MultiPower for the teammate to use. Since the requirements of the second DoubleShot is so high, it can actually be combined with a Power Card of up to level 8, which can create a devastating level 13 attack or defense. This gives two more options for all-round stat characters.

NEW CARDS: MultiPower Tactic: DoubleShot cards

The addition of the new DoubleShot cards finally closes the gap considerably between the high primary stat characters like Character X and not-so-effective characters like Character Y and Z.

Back to top

FOLLOW-UP ATTACKS VS. ADDITIONAL ATTACKS
Outside of Power cards and Specials, the only other really useful offensive cards are Teamwork cards. They can be used by any character which meets the requirement to use and act just like a high level Power card, with the exception that does not count as a duplicate of any other Power card. They add bonuses to any subsequent attacks, further aiding spectrum K.O. capabilities, and these bonuses get bigger with increasing stat requirements, giving these high primary stat characters an even bigger advantage than they have already!

To add insult to injury, each subsequent attack is made AFTER the opponent makes a defensive action. This gives so much advantage to the team playing the teamwork card because: 1) your opponent has no idea how many attacks you are going to make, so is unable to know which attacks to let hit and which ones to defend; 2) your opponent doesn’t know what level the subsequent attacks are going to be, and therefore could end up using cards of too high value to block the first couple of attacks and then be left wide open for the last attack; 3) the team playing the card can even choose to attack a different character on the opponent’s team after seeing what happens (e.g. wait to see if the opponent’s character is K.O.’d before directing the next attack to another character).

Not even the best One-Per-Deck special cards give you this much freedom and advantage! Power Balance now sees a slight change in the mechanics of playing Teamwork cards, as well as DoubleShot and Ally cards, which can help to lessen this overbearing advantage Teamwork cards can give.

NEW RULE: All subsequent attacks to Teamwork, DoubleShot and Ally cards are now considered “Follow-Up Attacks”. Follow-up attacks must be all made together simultaneously, in the same Offensive Action phase.

Basically, the rule means, if you play a Teamwork card, the 2nd and 3rd attacks must be all made prior to the Opponent making a defensive action. The same goes for DoubleShot and Ally cards. With regard to DoubleShots, it must be made clear whether the action is a single attack or two separate attacks.

This is now distinctly different from “Additional Attacks” offered by Special cards, which is made in two separate Offensive Action phases. The first attack is made in the first Offensive Action phase, and the Opponent that gets a Defensive Action phase to react to this attack. Once the Opponent’s Defensive Action phase is over, the player of the Special card can choose to make an “Additional Attack”. If so, the player then gets another Offensive Action phase where another attack can be made.

The beauty of this new system is that not only does it take away the overwhelming advantage offered by Teamwork cards, it now allows DoubleShots to be used as a two part defense! The second part of the defense can be played by a teammate to defend ANY OTHER CHARACTER. This adds a new dimension into playing Overpower that has never been seen before, and renders DoubleShot cards very useful in competitive play now. Have a look:

Example 1
Opponent plays three attacks on a front line character using a 6 to use Energy Teamwork card which acts as a level 6 Energy attack, a level 4 Fighting Power card which receives a +1 bonus, and a level 2 Strength Power card which receives a +2 bonus.

A DoubleShot card allows you to make two separate defenses with a Power Card of up to level 5, providing all "to use" requirements are met. Assuming this is true, in this case, the DoubleShot acts as a level 4 defense which can block the level 2(+2 bonus) Strength Power card, and the level 5 Power card (which must be playable by the teammate) can be used to block the level 4(+1 bonus) Fighting Power card. This only leaves the 6 Energy attack to deal with separately.

Example 2
Opponent plays a 4 to use MultiPower Teamwork card which acts as a level 4 MultiPower attack against the first character, and a level 4 Energy Power card which received a +1 bonus which is directed at a second character.

The character being attacked can use the DoubleShot card which acts as a level 4 defense to can block the level 4 MultiPower attack. The teammate can then use a level 5 Power card (which must be playable by the teammate) to block the level 4(+1 bonus) Energy Power card directed at the second character, EVEN IF THE SECOND CHARACTER IS NOT ACTUALLY THE ONE PLAYING THE DEFENSIVE POWER CARD!

Example 3
Opponent plays a 5 or less to use Energy Ally card which acts as a level 3 Energy attack, and a AA Special card which acts as a level 4 Fighting attack, which can grant him an “Additional Attack”.

The DoubleShot card acts as a level 4 defense which can block the level 4 Fighting attack, and a level 3 Power card can be used by a teammate to block the level 3 Energy attack.

After both defenses are made, the Opponent can choose to make another attack, which can be then dealt with separately.

Back to top

THE NEW POINT VALUE SYSTEM
The Point Value formula was then amended to take into account the new cards that have been added. The differences in Point Values should not be so large between high primary stat characters and other characters anymore, which are now a lot more effective than before. The formula has been weighted so that the mean, mode and median Point Values were 20 and the Sum Deck Rule amended to allow 80 points for construction of a team, so that 4 average characters would fit exactly on a team. This would mean that picking someone slightly more effective than the average would force you to use a character that is slightly less effective, resulting in a true level of balance, one that had not previously been achieved in Overpower. The complete table of Point Values for all characters can be found here in PDF format.

Full Instruction Manual with Point Values for all 4-stat Marvel Characters | Point Values for all DC and Image Characters, and all 3-stat Marvel Characters

AMENDED SUM DECK RULE: The Sum Deck Rule is an OverPower deck-building rule that determines the maximum Value of the Characters' Point Value in order for your deck to be considered Tournament Legal. To maintain a Tournament Legal Team, the sum of all of the Point Values of all of the Characters for your team must not exceed eighty (80) points, unless using a Home Base or Any-Power Cards.

For teams of 3-stat Characters ONLY, the sum of all of the Point Values of all of the Characters for your team must not exceed sixty (60) points.

Back to top

BALANCING USE OF ANY-POWER CARDS
The greatest use for Any-Power Cards was defense. These cards could be played by any character that had a high enough rating to play it, regardless of Power Type. However, since only one copy could be added into a deck, teams could not really be built around this concept. Not only that, a complete set of Marvel version Any-Power Cards was never really printed anyway.

Power Balance sees the missing Any-Power Power Cards and Teamwork card printed.

NEW CARDS: Any-Power Power Cards (not One Per Deck)

New rules for use have been introduced to allow for effectiveness in play. As before, Any-Power Cards can be played by a character that has a stat in the Power Grid that is greater or equal to the value on the Any-Power Power Card.

NEW RULE: Any-Power Cards are no longer considered "One Per Deck".

NEW RULE: Any-Power Universe cards can now only be used with Any-Power Power Cards (e.g. Any-Power Universe: Teamwork cards and Basic Universe cards can only be used with Any-Power Power Cards and vice versa).

NEW RULE: Any-Power Cards cannot be used with Tactic: DoubleShot cards. Additionally, addition of Any-Power Cards into a deck incurs The Any-Power Restriction.

NEW RULE (THE ANY-POWER RESTRICTION): The Any-Power Restriction is an OverPower deck-building rule that governs the use of Any-Power Cards in a Tournament Legal deck. Inclusion of Any-Power Cards of any/all types (including Power, Universe and Tactic cards) into a deck introduces three restrictions:
• The Point Value limit for your team decreases to 76 points.
• The use of MultiPower Cards of any/all types (including Power, Universe and Tactic cards) is not permitted.
• Only Marvel Manhatten, Marvel Universe and Team OverPower may be used as a Homebase.

The new rules open doors to teams that don't have matching Power Grids, rather built based on their Special card armamentarium. They maintain the ability to share usable Power Cards, with the trade off in reduction of Spectrum K.O. ability and slightly reduced Point Value limit.

Back to top

SPECIALS? INHERENT ABILITIES?
Fans of the game are likely to be questioning why Specials and Inherent Abilities were not taken into account for calculation of the final Point Values for each character, since they clearly have a huge effect on the effectiveness of a character. Fortunately, with regard to Inherent Abilities, the creators of Overpower already knew the weakness of the characters without high primary stats, and so good Inherent Abilities were only allocated to those with good all-round stats. This already helped to create some degree of balance. Additionally, there are so many different types of Inherent Abilities – each one having a different effect on the characters. Even the exact same Inherent Ability (like Energy Rating is 8 for defense) would have a different effect for different Power Grids, making a Point Value contribution (which may be additive or multiplicative) too hard to calculate.

With regard to Specials, the sheer number of Specials available to each character would make calculation of effectiveness a never-ending task. Not only that, if future expansions were to be released, providing new Specials to each character, the whole Point Value table would have to be readjusted. The balancing of Special cards should be done via provision of Special cards itself, not through the Point Value system.

The original Point Value system did not take into account either Specials or Inherent Abilities anyway, so this shouldn’t really be an issue.

Back to top

LOCATION BASED BALANCING
Let us turn our attention from characters to locations.

BATTLESITES
Currently, rules for K.O. of Battlesites are again very much in the favour of high primary stat characters, since Battlesites can only be Cumulative K.O.’d. All-round stat characters are at a huge disadvantage. Although this is a balance problem, there is little point in attacking the Battlesite anyway, as hits don’t count toward the venture total and the requirements for K.O. are way too high. New rules have been put into place in Power Balance to balance these issues:

NEW RULE: All hits on a Battlesite now contribute to venture total, but contribution is halved (e.g. hit of 8 would count as 4 to venture total).

NEW RULE: Battlesite hits to KO is now reduced to 20, and Battlesite may now be Spectrum KO'd with 3 power types.

To ensure Any Hero/Character cards don’t get too much of an advantage, they require an active Battlesite to be played. New rules have been put into place.

NEW RULE: Any Hero/Character cards can only be added to the deck if Marvel Manhatten, Marvel Universe or Team Overpower are used as Battlesites. No other specials may be used with these Battlesites.

NEW RULE: If the Battlesite is KO’d during battle, the Any Hero/Character cards can no longer be used, and must also be discarded during the discard phase.

Certain Battlesites, such as Onslaught’s Citadel and The Outback, were heavily favoured due to the sheer number of similar offensive and defensive specials. Others, such as The Sewer, were at a disadvantage due to the absence of specials for characters listed on the location card. To balance the usefulness and playability of all the Battlesites which have fewer options, new specials have been made for the missing characters, and a new rule has been put into place.

NEW CARDS: Specials for Characters that have not yet been created, but still listed on Location cards.

NEW RULE (THE BATTLESITE RESTRICTION): The Battlesite Restriction is an OverPower deck-building rule that governs the use ofspecials with Battlesites in a Tournament Legal deck. Each special card used with a Battlesite must have a different special code. Any two specials with the same special code (e.g. AG for Avoid 1 Attack) are considered duplicate and cannot be included. Only a maximum of twelve (12) specials may be placed into a deck, which may include a single “One Per Deck” special. Specials must be usable by the basic version of the character listed on the location card – if Storm is listed, then all specials playable by Storm are usable, but not those playable by “Storm: Neutralized”, which would include Morlocks special cards.

Back to top

HOMEBASES
Pre-constructed teams from Homebases have never really been well balanced at all. As mentioned before, some Location cards list Characters that haven’t even been printed! This automatically renders these teams at a disadvantage for choice. Power Balance sees the introduction of these missing Characters.

NEW CARDS: Character Cards for missing Characters listed on Location cards.

Some of the Homebases list teams where the Power Grids and total effectiveness of Characters is absolutely hopeless, whereas other list teams of Characters with matching high primary stat values AND exceed the Point Value limit by a significant amount. There is such an imbalance both between Homebases teams themselves as well as against custom constructed teams which have to adhere to a Point Value limit. New conditions have been added to the Inherent Ability of several Homebases, which focus on ones that have teams with total Point Values greater than eighty (80), and a blanket rule put into place:

NEW RULE: Characters used for Homebase teams MUST be the basic version of the character. For example, only the basic version of Angel may be used, not “Angel: The Fallen” or “Angel: Horseman of Apocalypse”.

NEW CONDITIONS FOR INHERENT ABILITY OF HOMEBASES:
Avalon - “Avalon’s Team may not Venture more than 1 Mission Card per battle."
Blue Area Of The Moon - “Blue Area Of The Moon’s Team is -6 to Venture Total per battle if Point Value of team is greater than 80.”
Four Freedoms Plaza - “Any shifted attack which utilizes Four Freedoms Plaza’s Inherent Ability must be defended, and can only be defended by a non-Special card.”
Gamma Base - “Gamma Base’s Team is -6 to Venture Total per battle if Point Value of Team is greater than 80.”
Landau, Luckman & Lake - “Landau, Luckman & Lake’s Team is -6 to Venture Total per battle if Point Value of Team is greater than 80.”
Madripoor - “Madripoor’s Team is -6 to Venture Total per battle if Point Value of Team is greater than 80.”
Princess Bar - “Opponent may pick up one additional card for each mission ventured by Princess Bar’s Team if Point Value of Team is greater than 80. Discard duplicates.”
Sanctum Sanctorum - “Sanctum Sanctorum’s Team is -6 to Venture Total per battle if Point Value of Team is greater than 80.”
The Savage Land - “The Savage Land’s Team is -2 to Venture Total per battle if Point Value of Team is greater than 80.”
The Sewer - “The Sewer’s Team is -4 to Venture Total per battle if Point Value of Team is greater than 80.”
X-Mansion - “X-Mansion’s Team is -9 to Venture Total per battle if Point Value of Team is greater than 80.”

Back to top